Kembali lagi bersama kakak disini.. hari ini materi untuk kelas VIII tentang mencari gradien garis lurus. Gradien itu apa sih kak? Gradien itu adalah perbandingan y dengan x yang menentukan kemiringan suatu garis. Rumusnya gimana kak? Berikut adalah rumus untuk menghitung gradien (simbolnya m):
1. Jika soalnya berupa y = mx + c
contoh:
a. 2y = 5x
y = 5/2x
Jadi m = 5/2
b. 7x + y = 0
y = -7x
Jadi m = -7
2. Jika soalnya berupa y = mx ± c
Contoh:
a. y = 5x – 7
jadi m = 5
b. 2y = -2x – 1
y = -2x/2 – ½
y = -x – ½
jadi m = -1
3. Jika soalnya berupa ax + by + c = 0
Contoh:
a. 2x + y + 7 = 0
Memiliki a = 2; b = 1; c = 7
m = -a/b
m = -2/1
m = -2
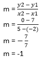
4. Jika pada soal diketahui dua titik (x1 , y1) dan (x2 , y2)
Contoh:
Tentukan gradien titik P (-2, 1) dan Q (5, 3)!
P (-2, 1) dan Q (5, 3)
Pada soal diketahui:
x1 = -2 dan y1 = 1
x2 = 5 dan y2 = 3
Gimana nih adik-adik? Paham kan? Bagaimana kalau kita makin memperdalam lagi pemahaman kita tentang materi ini dengan berlatih lebih banyak soal lagi!
1. Tentukan gradien garis yang melalui titik pusat O(0, 0), dan titik-titik berikut ini:
a. P(7, 3)
b. Q(4, -8)
c. R(-2, -6)
d. S(-8, -1)
Jawab:
a. P(7, 3)
m = y/x
m = 3/7
b. Q(4, -8)
m = y/x
m = -8/4
m = -2
c. R(-2, -6)
m = y/x
m = -6/-2
m = 3
d. S(-8, -1)
m = y/x
m = -1/-8
m = 1/8
2. Diketahui titik A(-2, 7) dan B(5, 0). Tentukan gradien garis AB dan gambarkan sketsanya!
Jawab:
A(-2, 7) dan B(5, 0)
Gambar sketsanya:
3. Gradien garis yang persamaannya 2x – 4y + 10 = 0 adalah...
a. 2
b. ½
c. – ½
d. -2
Jawab:
2x – 4y + 10 = 0 memiliki a = 2; b = -4; c = 10
m = -a/b
m = -2/(-4)=1/2
Maka gradien (m) = ½ (B)
4. Gradien dari persamaan garis 2/5 x-4y=5 adalah...
a. -2/5
b. 2/5
c. 1/10
d. -1/10
Jawab:
memiliki a = 2/5; b = -4; c = -5
Demikian ya adik-adik.. semoga materi ini bisa membantu kalian....






No comments:
Post a Comment